211 - ešte k obecným bytom

Siedmy v poradí
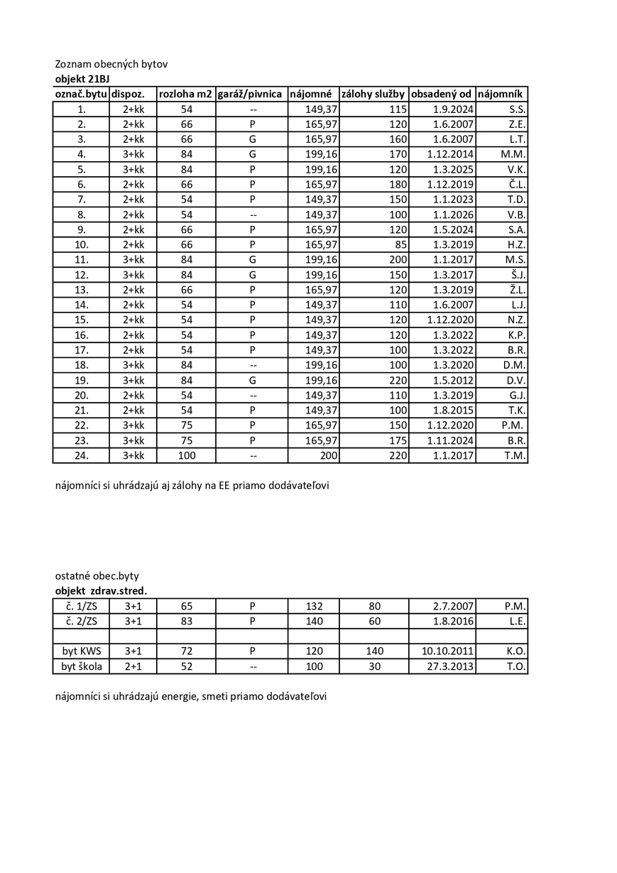
Áno, obecné byty sú v našej obci naozaj veľká téma na pokračovanie.
Túto
infožiadosť som poslala na obecný úrad 16.2. a pýtala som sa v nej na
podrobnosti o všetkých obecných bytoch. Tiež som chcela vedieť, ako dlho v nich bývajú
aktuálni nájomníci. Odpoveď z obecného úradu prišla 3.4., čo bolo deň pred uplynutím
lehoty, a chýbal v nej údaj za jeden byt. 4.3. som teda posielala
odvolanie voči čiastočnému zamietnutiu. Doplňujúca odpoveď na troch riadkoch (plus jedno slovo) prišla
po týždni.
Bez rozhodnutia.
Infožiadosť 16.2.2026

Odpoveď 3.4.2026


Odvolanie 4.3.2026

Doplnenie odpovede

Zajtra bude zasadnutie sociálnej, bytovej a školskej komisie,
na programe je aj návrh nového VZN o prideľovaní obecných bytov. Návrh je
aktuálne zverejnený aj na webe obce, veľmi odporúčam občanom, aby si ho pozorne prečítali a prípadne
do 20.4. poslali pripomienky. Inšpirovať sa pritom môžu predošlým článkom o proteste prokurátora k aktuálnemu zneniu VZN o bytoch (link nájdete v súvisiacich článkoch).
Návrh nového VZN si môžete prečítať TU
Ďalší článok o obecných bytoch pridám, keď poslanci odhlasujú nové VZN. Malo by to byť na najbližšom zasadnutí OZ.
PS pre "cezpoľných" čitateľov – na náhľadovej fotke je kríž z roku 1815 v Zákostolí. Stále je to v centre obce, ale keď trochu zastrčené. V pozadí aktuálnej fotky je detské ihrisko, ktoré vytvorili obyvatelia tejto časti obce.
júl 2011

15.4.2026


Súvisiace články:
Obecné
byty
Obecné byty II.
Obecné byty III.
211 - obecné byty
211 - pridelenie obecného bytu
Protest prokurátora
ďalšie články o infožiadostiach nájdete TU