211 - dohoda o splátkach

Jednu preskočíme...
Ďalšiu
infožiadosť som na OcÚ poslala 4.12., teda mimo pondelkového radu. Išlo o infožiadosť
o kronike obce a budem o nej písať v pokračovaní článku na túto tému, lebo tam obsahovo patrí.
Tento článok je o infožiadosti z 8.12.2025. Odpovede na moje otázky sa dali vypracovať do pol hodiny. Nebola potrebná návšteva archívu a nebolo treba zložito hľadať v šanónoch. Na odpoveď som aj tak čakala plných dvanásť
pracovných dní, ktoré mal úrad k dispozícii podľa lehôt v Infozákone. Formulácia "bez zbytočného odkladu" tak zase zostala nevyužitá.
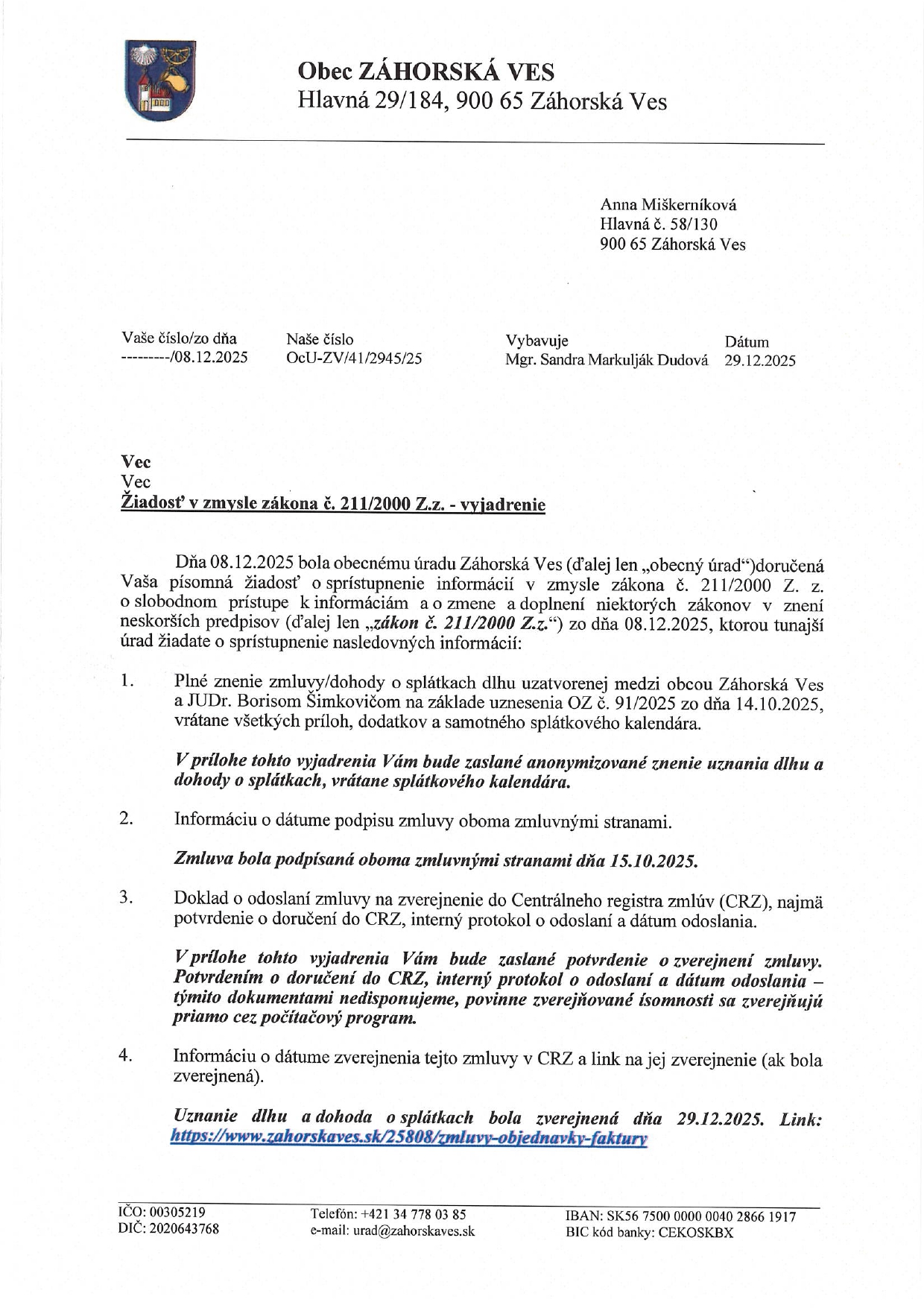
Moja žiadosť o sprístupnenie informácií podľa zákona č. 211/2000 Z.z. z 8.12.2025

Odpoveď obce z 29.12.2025



Uznanie dlhu a dohoda o splátkach z 15.10.2025



Len
podotknem, že zmluva bola zverejnená na webe obce aj v centrálnom registri
zmlúv až 29.12.2025, teda dva a pol mesiaca po podpise a hlavne po tom,
ako obec prijala dve plnenia (splátky).
A zhodou náhod v ten istý deň, kedy mi úrad odpovedal na infožiadosť.
Z odpovede obce vyplýva, že obec prijala peniaze na základe zmluvy, ktorá v tom čase
právne neexistovala. Dohoda o splátkach totiž nadobudla účinnosť až po zverejnení v Centrálnom
registri zmlúv. Splátkový režim pred týmto dátumom nebol právne záväzný a obec tak nemala riadne
ošetrené, za akých podmienok peniaze prijíma. A to je v rozpore so základnými pravidlami nakladania s verejnými financiami a so zákonnou povinnosťou obce postupovať hospodárne, transparentne a v zmysle právnych predpisov.
PS pre "cezpoľných" čitateľov - na náhľadovej fotke k článku je vidno balkón v miestnom kultúrnom dome, cez dvere vpravo sa vchádza do miestnej knižnice. Fotografiu som urobila v piatok 23.1. (výpožičné hodiny v knižnici sú každý piatok od 17,00 hod. - 19,00 hod.)
V tom čase kompa pre ľadochody nepremávala a predpokladám, že pracovníkom
kompy bola pridelená náhradná práca. Čo je úplne ok, keďže v prípade prevádzkových
prekážok na strane zamestnávateľa môže obec zamestnancom prideliť inú prácu,
aby im nevznikla strata príjmu a aby bol pracovný čas využitý zmysluplne.
Pracovníci vymaľovali na balkóne strop a asi aj steny, ale to sa pre
odmontované svietidlá a z toho vyplývajúce mizerné svetelné podmienky
moc zistiť nedalo.
Podľa pristavenej plošiny vľavo usudzujem, že práce s maľovaním stropu budú
pokračovať.
Kompa už od dnešného rána zase premáva, tak snáď to maľovanie dokončia
pracovníci, ktorí majú školenie na prácu vo výškach.



Súvisiace články:
211 - platy zamestnankýň OcÚ
211 - ČOV
211 - mesačné splátky
211 - obecné byty
211-cierne-skladky
211 - firma INSUCCOR s.r.o.
211 - odpadové vody
211 - colnica
211 - strava dôchodcovia
211 - počítačové výdavky
211 - pracovné úväzky
211- drobné stavebné práce
211 - rozpočtové opatrenia
211 - ročný rozpočet